AccueilapplicationApprentissage éducatif
  • Derivative Integral Formula

    Derivative Integral Formula

    9 1.9 2026-02-27
    Apprentissage éducatif
    Télécharger

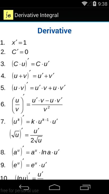
Formules intégrales et dérivées

C'est une application gratuite qui vous aide à référer les formules intégrales et dérivées en mathématiques.

Alors téléchargez-le!

Quoi de neuf dans la dernière version 1.9

Dernière mise à jour le 6 septembre 2015 Calculatrice de dérivés
Calculatrice intégrale

En savoir plus

Aperçu

Les utilisateurs ont également consulté

Voir tout

Cela pourrait vous intéresser

Voir tout

Plus de jeux similaires

Voir tout

Plus de jeux de niveau

Voir tout